Invat Online
Manuale Manuale AI Profesori
Autentificare Începe acum
Matematica / Clasa IX-a / RO

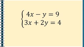
Sisteme de inecuații de gradul I cu o necunoscută

Examen.MD 25 martie 2020

Descriere

Sisteme de inecuații de gradul I cu o necunoscută.

Lecții similare

Conul circular drept Necunoscut Cilindrul circular drept Necunoscut Trunchiul de piramida triunghiulară Sorina Stoian Piramida Necunoscut Prisma Radu Poenaru Poligoane regulate Necunoscut Lungimea cercului, aria discului Radu Poenaru Aria trapezului Radu Poenaru Aria triunghiului Necunoscut Aria paralelogramului, formula de calcul Radu Poenaru Triunghi si patrulater inscris in cerc si circumscrise cercului Radu Poenaru Cerc. Unghi inscris in cerc si unghi la centru. Radu Poenaru Cercul Corina Țurcanu Metoda intervalelor de rezolvare a inecuațiilor de gradul 2 Necunoscut Sisteme de ecuatii: metoda substitutiei, metoda reducerii Corina Țurcanu Algoritmul de rezolvare a unor ecuatii rationale cu necunoscuta la numitor Necunoscut Ecuatii de gradul 2 cu o necunoscuta Corina Țurcanu Ecuatii ax+b=0 Corina Țurcanu Rapoarte algebrice (expresii algebrice) Corina Țurcanu Radacinile unui polinom, ecuatii de grad superior Radu Poenaru
Invat Online

Platforma de meditații online din Moldova. Conectăm profesori verificați cu părinți care doresc cele mai bune rezultate pentru copiii lor.

Acceptăm: Visa Mastercard Google Pay Apple Pay

Platformă

  • Ghid pentru părinți
  • Înscrie copilul
  • Găsește profesori
  • Devino profesor

Resurse

  • Despre noi
  • Contact
  • Întrebări frecvente

Legal

  • Termeni și condiții
  • Protecția datelor
© 2026 Invat.Online. Toate drepturile rezervate. v1.0.308
Termeni GDPR