Invat Online
Manuale Manuale AI Profesori
Autentificare Începe acum
Matematica / Clasa VIII-a / RO

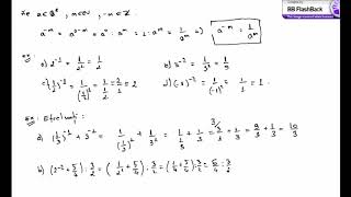
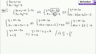
Ecuații de gradul II- metode de rezolvare

Necunoscut 24 martie 2020

Descriere

Livrat de EduTolk

Lecții similare

Rapoarte algebrice Galina Obletsova Operații cu numere reale reprezentate prin litere Galina Obletsova Noțiunea de șir numeric Vasilache Galina Funcția rădăcină pătrată Vasilache Galina Funcția proporționalitate inversă Vasilache Galina Noțiunea de funcție Vasilache Galina Triunghiuri asemenea Radu Poenaru Teorema lui Thales Corina Țurcanu Trapez Teorie Necunoscut Paralelogram teorie Necunoscut Siruri. Proprietati: monotonia şi mărginirea Necunoscut Functia radical - domeniu de definitie Radu Poenaru Functia de gradul 1 Necunoscut Functii Introducere Necunoscut Inecuatii de gradul I, inecuatii cu modul Corina Țurcanu Sisteme de ecuatii metoda reducerii, metoda substitutiei Radu Poenaru Ecuații de gradul I cu o necunoscută Violeta Popovici-Bujor Rapoarte algebrice (expresii algebrice) Corina Țurcanu Descompunere in factori Radu Poenaru Formule de calcul prescurtat Corina Țurcanu
Invat Online

Platforma de meditații online din Moldova. Conectăm profesori verificați cu părinți care doresc cele mai bune rezultate pentru copiii lor.

Platformă

  • Ghid pentru părinți
  • Înscrie copilul
  • Găsește profesori
  • Devino profesor

Resurse

  • Despre noi
  • Contact
  • Întrebări frecvente

Legal

  • Termeni și condiții
  • Protecția datelor
© 2026 Invat.Online. Toate drepturile rezervate. v1.0.0-dev
Termeni GDPR